政策发布
网上报名
报名审核状态查询
网上缴费
打印登记表
打印准考证
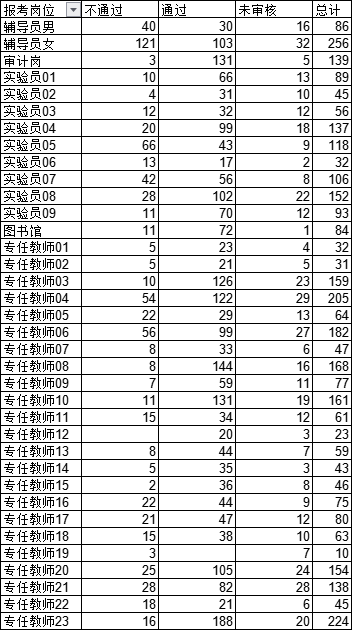
2025年潍坊科技学院公开招聘人员报名情况(截至2025年3月2日17:00)
发布人:人事处 发布时间:2025-02-27 17:29:26
